El transistor bipolar fue el primer dispositivo activo de estado sólido. Fue inventado en 1949 en los Laboratorios Bell por W. Schockley, J. Bardeen y W. Brattain (que recibieron el premio Nobel en 1956). También se suele denominar por sus siglas inglesas BJT (bipolar junction transistor).
Se trata de un dispositivo formado por dos uniones y que tiene tres terminales (llamados emisor, base y colector). Hay dos tipos, npn y pnp:

Características de transferencia. Polarización
Característica de transferencia IB–VBE

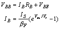
Circuito típico de polarización de un BJT
La malla formada por la pila VBB, la resistencia de base (RB) y la unión BE determinan la corriente de base (y, por tanto, la de colector y la de emisor). En efecto, como la corriente de base y la tensión de base-emisor son la solución del siguiente par de ecuaciones (en activa):

Obsérvese la completa analogía con la polarización de un diodo. La solución se puede obtener gráficamente mediante la intersección de la curva característica IB-VBE del transistor con la recta de carga impuesta por la resistencia RB y la pila VBB (como sucedía en el caso de un diodo).

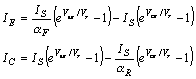
Característica de transferencia IC–VCE

Cada una de las curvas se corresponde con un valor constante de la intensidad de base (IB) o, lo que es lo mismo, de la tensión VBE. Para entender por qué tiene esta forma la característica recordemos las ecuaciones de Ebers-Moll:

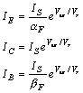
En la región activa:

Aplicaciones de los Transistores
Los transistores tienen multitud de aplicaciones, entre las que se encuentran:
- Amplificación de todo tipo (radio, televisión, instrumentación)
- Generación de señal (osciladores, generadores de ondas, emisión de radiofrecuencia)
- Conmutación, actuando de interruptores (control de relés, fuentes de alimentación conmutadas, control de lámparas, modulación por anchura de impulsos PWM)
- Detección de radiación luminosa (fototransistores)
Los transistores de unión (uno de los tipos más básicos) tienen 3 terminales llamados Base, Colector y Emisor, que dependiendo del encapsulado que tenga el transistor pueden estar distribuidos de varias formas.

SIMBOLO

EMISOR COMÚN
Decimos que el transistor esta configurado en Emisor Común cuando la señal de entrada se aplica a la base y la señal de salida se obtiene del Colector, la señal a la salida es igual a la de entrada pero invertida y amplificada en un factor aproximado –RC/RE, si tenemos una RE pequeña en comparación con RC tendremos una gran ganancia, con lo cual es una configuración muy utilizada para amplificar señales.

BASE COMÚN
En esta configuración, la señal de entrada ingresa por el Emisor y la señal de salida Sale por el Colector, tiene como característica principal de tener una muy buena amplificación de tensión.
Posee una impedancia de entrada muy baja, como se puede ver la base esta conectada a tierra por eso es el terminal común.

CONFIGURACIONES BÁSICAS DE UN TRANSISTOR
Existen tres tipos de configuración para un transistor, cada una de ellas tiene ventajas y desventajas según la aplicación que necesitamos realizar.
TRANSISTOR BIPOLAR CONFIGURADO COMO COLECTOR COMUN (SEGUIDO DE EMISOR)
Decimos que el transistor bipolar esta configurado en Colector Común cuando la señal de entrada se aplica a la base y la señal de salida se obtiene del emisor, esta configuración tiene una alta impedancia de entrada y una baja impedancia de salida, por lo tanto es útil para realizar acoplamientos con otras etapas del circuito.
La ganancia de tensión, Voltaje de salida/Voltaje de entrada (VO/VS) nunca será mayor a uno, en la practica la tensión de salida es aproximadamente el 50% de la tensión de entrada. Claramente esta configuración no será una buena elección si queremos usarlo como amplificador

TRANSISTOR BIPOLAR BJT COMO AMPLIFICADOR
Como dijimos antes, el transistor tiene la característica de permitirnos controlar el nivel de corriente a la salida mediante una pequeña corriente de entrada.
Corriente de salida (IC) = HFE*Corriente de entrada (IB
Supongamos que tenemos un Transistor de HFE = 10 (los comerciales son de valor superior a 150) al que le ingresa a la base una corriente alterna de forma senoidal de 4mA (IB) de pico (variando entre -4mA y 4mA), dado que HFE = 10 nos indica que la corriente de salida de colector (IC) variara entre -40mA y 40mA

La corriente que circula por el colector del transistor bipolar (la de color azul), es entregada por la pila de 9V pero controlada por la corriente de entrada (la roja), respetando la misma forma pero modificando su amplitud. Si la señal roja fuese una señal de audio, la señal azul es la misma señal de audio pero más audible (amplificador)
SUPONGAMOS QUE TENEMOS EL SIGUIENTE CIRCUITO:
Como podemos ver en la imagen, la señal de entrada (Ve) ingresa por la base y la señal de salida (Vs) se obtiene por Colector, por lo tanto el circuito esta configurado como emisor común. Un concepto básico que tenemos que tener en cuenta para este análisis es el comportamiento de los capacitores, a modo practico y simplificado podemos decir que en Corriente Continua los capacitores se comportan con un circuito abierto, y en corriente alterna (señal) se comportan como un cable, en la realidad esta consideración será dependiente de la reactancia capacitiva del capacitor. Otro concepto básico que tenemos que considerar es que al analizar el comportamiento en corriente continua, las fuentes de señal (Ve) funcionan como un circuito abierto y las fuentes de continua (Vcc) son un cero lógico (Masa).

POR LO TANTO PARA CORRIENTE CONTINUA, EL CIRCUITO EQUIVALENTE ES EL SIGUIENTE

Al remplazar los capacitores por un cable, y las fuentes de señal por un cable, el circuito queda bastante mas simplificado, la resistencia Re no la tenemos en cuenta ya que esta cortocircuitada por C2 (cable para nuestro análisis).
Podemos simplificar mas el circuito realizamos el teorema de Thevennin en R1 y R2, el circuito queda de la siguiente manera.

ANÁLISIS MATEMÁTICO DE UN TRANSISTOR BIPOLAR
Tenemos que resolver las siguientes tres ecuación, donde calculamos la corriente IC y la tensión entre los terminales C y E (VCE) En nuestro ejemplo consideramos lo siguiente
- VCC = 10V
- RC = 100Ω
- RB = 100kΩ
- VBE = 0.7V (valor típico en los transistores comerciales de pequeña señal)
- VBB = 5V
- Β = 100
Analizando la malla de entrada y la de salida se obtienen las siguientes ecuaciones

Remplazando IB = IC/β en la ecuación 2 obtenemos el valor de IC

Lo que nos deja la expresión

Remplazando el valor de IC obtenido en la ecuación 1 obtenemos el valor de VCE

GRAFICAMOS LOS RESULTADOS
